Desarrollo Sobre la Mesa
https://inesad.edu.bo/dslm/2017/05/calculo-del-crecimiento-del-pib-mediante-el-metodo-de-la-ponderacion-en-cadena/

Cálculo del crecimiento del PIB mediante el método de la ponderación en cadena


Print

Por: Luis Carlos Jemio Ph.D.*

En un número mayor de países se está calculando el crecimiento real del Producto Interno Bruto usando la metodología de la ponderación encadenada, a diferencia de la metodología de ponderación fija que era el método estándar. Esta metodología consiste en calcular el crecimiento del PIB cada año, calculando previamente el valor real del PIB a precios del año anterior y compararlo con el PIB del año anterior medido a precios corrientes. De esta forma, se mantienen fijos los precios del año anterior, y solamente se comparan las variaciones en las cantidades producidas.



La metodología de ponderaciones en cadena tiene varias ventajas en comparación a la metodología tradicional de ponderaciones fijas (Da Costa, M. y Juan-Ramón V.H., 2011):

  • Resuelve el problema de sobreestimación o subestimación del crecimiento al actualizar las ponderaciones en cada periodo.

  • Elimina la anomalía que surge al usar ponderaciones recientes para periodos pasados con un conjunto de precios diferentes.

  • Elimina el inconveniente y confusión asociados con la práctica, cuando se emplea el método tradicional de actualizar las ponderaciones cada cierto número de años.


Según el método tradicional de cálculo del PIB a precios constantes, se elige un año base, y se mantiene los precios fijos de esa base para calcular el PIB a precios constantes para todos los años subsiguientes. De esta forma, el crecimiento del PIB en un periodo determinado es calculando dividiendo el PIB a precios del año base para el periodo t, entre el PIB a precios del año base para el periodo t-1.

Blog 1

Para calcular el PIB real con el método de la ponderación en cadena, es necesario calcular tres series de datos del PIB:

La serie del PIB nominal (PIBN), equivalente a la medición del PIB a precios corrientes de cada año, donde Pt son los precios de los diferentes componentes del PIB (agricultura, minería, hidrocarburos, manufactura, etc.) y Qt son las cantidades producidas para el periodo t.

Blog 2

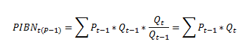
La serie del PIB a precios del año anterior ( PIBN t (P-1) ), que se obtiene multiplicando el valor nominal del valor agregado del periodo anterior ( P t-1* Q t-1 ) por las variaciones de cantidad ( Q / Q t-1 ) de cada uno de los componentes del PIB.

Blog 3

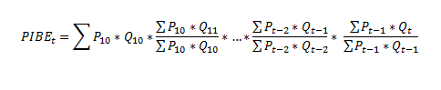
Serie del PIB encadenada (PIBE), para lo cual, partiendo de un año de referencia, determinado, se obtiene el PIB para el periodo t, multiplicando esta serie encadenada sucesivamente por las variaciones de cantidad del PIB, valoradas éstas a precios del año anterior, tal como lo indica la siguiente fórmula:

Blog 4

El cálculo del crecimiento del PIB (gt), usando la metodología de las ponderaciones en cadena, se calcula dividiendo el PIB de la serie encadenada del periodo t (PIBEt), entre el PIB de la serie encadenada del periodo t-1 (PIBE t-1), todo menos 1.

Blog 5

Cálculo del PIB en Bolivia

El Instituto Nacional de Estadística calcula el PIB y el crecimiento real del PIB utilizando la metodología de ponderacionbes fijas de un año base determinado. Existe el problema que el año base de la serie del PIB con que calcula el PIB no ha sido modificada recientemente y corresponde a 1990, por lo que esta base está desactualizada por ser ésta de 27 años atrás, por lo que las ponderaciones fijas no reflejan la realidad y estructura actual de la economía boliviana. El INE tiene proyectado publicar una nueva serie en la cual se actualizaría el año base de la nueva serie, aunque no se cambiaría aparentemente la metodología de cálculo por la metodología de ponderaciones ecadenadas explicada anteriormente.

Para tener una idea inicial de los efectos que significaría introducir la metodología de la serie encadenada al cálculo del PIB en Bolivia, se ha realizado un ejercicio, en el cual se calcula el crecimiento del PIB, sustituyendo las ponderaciones fijas de precios del año base por ponderaciones de precios del año anterior, pero solo a nivel de rama de actividad. En el cálculo efectivo del crecimiento del PIB utilizando esta metodología se debe realizar este cálculo a nivel de producto.

El gráfico compara la serie del crecimiento del PIB utilizando la metodología tradicional de ponderaciones fijas, que es la que publicó el INE, con el crecimiento del PIB calculado utilizando parcialmente la metodología de ponderaciones encadenadas, pero solo a nivel de rama de actividad, para el periodo 1989-2016. Como puede observarse, en el periodo 1989-1999 no existe una diferencia muy grande entre las tasas de crecimiento calculadas mediante los dos métodos, ya que la estructura de la economía durante ese periodo permaneció prácticamente la misma que la observada en 1990. A partir de 2000 se observa algunas diferencias mayores, ya que algunas ramas de actividad, principalmente minería e hidrocarburos, presentan variaciones de precios y de cantidades más altas. Finalmente, a partir de 2006, existe una diferencia mucho más marcada entre ambas series, ya que los precios y cantidades de algunas ramas de actividad, nuevamente minería e hidrocarburos, presentaron incrementos mucho más altos que el promedio, aumentando así la ponderación de estos sectores en el crecimiento del PIB, lo que no sucede cuando se utilizan ponderaciones fijas.

Como puede observarse el el gráfico, durante el periodo 2006-2016, el crecimiento del PIB, calculado mediante el método de ponderaciones encadenadas, habría sido mayor al calculado mediante el método de ponderaciones fijas, ya que según esa metodología la estructura del PIB para el cálculo del crecimiento de actualiza constantemente.

 

Tasas de crecimiento del PIB utilizando ponderaciones fijas y variables


(variación porcentual anual)


2017.05.12 Gráfica development roast Luis Carlos Jemio-01



Fuente: elaboración del autor en base a información del Instituto Nacional de Estadística

Referencia

Da Costa, M. y Juan-Ramón V.H. (2011), Programación Financiera: Fundamentos Teóricos y Aplicación Práctica al caso de Costa Rica. Banco Interamericano de Desarrollo-Fondo Monetario Internacional.

*Investigador Asociado de INESAD, lcjemio@inesad.edu.bo. Las opiniones expresadas en los artículos del Blog Desarrollo Sobre la Mesa pertenecen a los autores y no necesariamente reflejan la posición oficial de la Fundación INESAD.